PF-07321332
PF-07321332 — противірусний препарат, розроблений компанією Pfizer, перорально активний інгібітор протеази 3CLpro. Це ковалентний інгібітор ферменту, що зв'язується безпосередньо з каталітично-активним залишком цистеїну (Cys145). Ліки «Паксловід» (Paxlovid)[1][2], що складаються з комбінації PF-07321332 з ритонавіром, проходять фазу II/III клінічних випробувань як засіб від COVID-19[3][4][5][6][7]. У цій комбінації ритонавір служить для уповільнення метаболізму ферментами цитохрому PF-07321332 для підтримки більш високих концентрацій основного препарату в кровотоку[8].
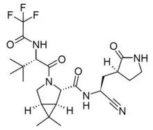
![]() | |
|---|---|
PF-07321332
| |
| Систематизована назва за IUPAC | |
| (1R,2S,5S)-N-[(1S)-1-cyano-2-[(3S)-2-oxopyrrolidin-3-yl]ethyl]-3-[(2S)-3,3-dimethyl-2-[(2,2,2-trifluoroacetyl)amino]butanoyl]-6,6-dimethyl-3-azabicyclo[3.1.0]hexane-2-carboxamide | |
| Класифікація | |
| ATC-код | |
| PubChem | |
| CAS | |
| DrugBank | |
| Хімічна структура | |
| Формула | C23H32F3N5O4 |
| Мол. маса | |
| Фармакокінетика | |
| Біодоступність | |
| Метаболізм | |
| Період напіввиведення | |
| Екскреція | |
| Реєстрація лікарського засобу в Україні | |
У листопаді 2021 року Pfizer оголосила про позитивні результати дослідження фази II/III, у тому числі про скорочення госпіталізацій або смертельних випадків на 89 %[9] при призначенні «Паксловіда» протягом трьох днів після появи симптомів ковіда та на 85 %, якщо лікування починати протягом п'яти днів[9][2].
Розробка
Протеази коронавірусу розрізають вірусний поліпротеїн у багатьох місцях, зазвичай після глутамінового залишку. Попередня робота на людських риновірусах з подібною особливістю показала, що глутамін з гнучким бічним радикалом може бути замінений ригідним піролідином[10]. Дана лінія препаратів отримала подальший розвиток для застосування при інших захворюваннях, включаючи SARS[11].
Ефективність вибору протеази 3CL як цілі вперше була продемонстрована в реальних умовах, коли GC376 (проліки GC373) застосували для лікування раніше 100 % летального захворювання — інфекційного перитоніту кішок, викликаного коронавірусом FIPV[12]. Препарат Pfizer є аналогом GC373, в якому альдегідний ковалентний акцептор цистеїну замінили нітрилом[13].
PF-07321332 був розроблений шляхом модифікації більш раннього клінічного кандидата PF-07304814[14][15]. PF-07304814 також є ковалентним інгібітором, але має як активну групу гідроксиметилкетон і використовується у вигляді проліки-фосфату. PF-07304814 необхідно вводити внутрішньовенно, що обмежує його застосування умовами лікарняного закладу. PF-07321332 — препарат, що підходить для перорального застосування — отримали шляхом поетапної модифікації трипептидного миметика[16]. Ключові зміни включають зменшення числа донорів водневих зв'язків і числа зв'язків, що обертаються, за рахунок введення жорсткої біциклічної неканонічної амінокислоти, яка імітує залишок лейцину, виявлений в більш ранніх інгібіторах[16]. Цей залишок раніше використовувався у синтезі боцепревіру[17].
Джерела
- Pfizer’s Novel COVID-19 Oral Antiviral Treatment Candidate Reduced Risk of Hospitalization or Death by 89% in Interim Analysis of Phase 2/3 EPIC-HR Study (англ.). Pfizer. 5 листопада 2021.
- Philippidis, Alex (18 травня 2020). Pfizer - PAXLOVID™ (PF-07321332). GEN - Genetic Engineering and Biotechnology News (амер.). Процитовано 5 листопада 2021.
- Koen Vandyck, Jerome Deval. Considerations for the discovery and development of 3-chymotrypsin-like cysteine protease inhibitors targeting SARS-CoV-2 infection // Current Opinion in Virology. — 2021. — Т. 49 (1 серпня). — С. 36–40. — ISSN 1879-6257. — DOI:.
- Yavuz S, Komsuoğlu Çelikyurt FI. Antiviral treatment of COVID-19: An update // Turkish Journal of Medical Sciences. — 2021. — 23 січня.
- Bilal Ahmad, Maria Batool, Qurat ul Ain, Moon Suk Kim, Sangdun Choi. Exploring the Binding Mechanism of PF-07321332 SARS-CoV-2 Protease Inhibitor through Molecular Dynamics and Binding Free Energy Simulations // International Journal of Molecular Sciences. — 2021. — Т. 22, вип. 17 (24 серпня). — С. 9124. — ISSN 1422-0067. — DOI:.
- Pfizer begins dosing in Phase II/III trial of antiviral drug for Covid-19. www.clinicaltrialsarena.com (en-GB). Процитовано 5 листопада 2021.
- Pfizer is testing a pill that, if successful, could become first-ever…. archive.ph. 27 квітня 2021. Процитовано 5 листопада 2021.
- What is Australia’s potential new COVID treatment?.
- У Pfizer заявили, що їхня нова пігулка на 89% знижує ризик госпіталізації та смерті через COVID-19. 5 листопада 2021.
- Peter S. Dragovich, Thomas J. Prins, Ru Zhou, Stephen E. Webber, Joseph T. Marakovits. Structure-Based Design, Synthesis, and Biological Evaluation of Irreversible Human Rhinovirus 3C Protease Inhibitors. 4. Incorporation of P1 Lactam Moieties as l-Glutamine Replacements // Journal of Medicinal Chemistry. — 1999. — Т. 42, вип. 7 (1 квітня). — С. 1213–1224. — ISSN 0022-2623. — DOI:.
- Thanigaimalai Pillaiyar, Manoj Manickam, Vigneshwaran Namasivayam, Yoshio Hayashi, Sang-Hun Jung. An Overview of Severe Acute Respiratory Syndrome–Coronavirus (SARS-CoV) 3CL Protease Inhibitors: Peptidomimetics and Small Molecule Chemotherapy // Journal of Medicinal Chemistry. — 2016. — Т. 59, вип. 14 (28 липня). — С. 6595–6628. — ISSN 0022-2623. — DOI:.
- Niels C Pedersen, Yunjeong Kim, Hongwei Liu, Anushka C Galasiti Kankanamalage, Chrissy Eckstrand. Efficacy of a 3C-like protease inhibitor in treating various forms of acquired feline infectious peritonitis // Journal of Feline Medicine and Surgery. — 2018. — Vol. 20, iss. 4 (1 April). — P. 378–392. — ISSN 1098-612X. — DOI:.
- Pfizer unveils its oral SARS-CoV-2 inhibitor.
- Pfizer. A PHASE 1B, 2-PART, DOUBLE-BLIND, PLACEBO-CONTROLLED, SPONSOR-OPEN STUDY, TO EVALUATE THE SAFETY, TOLERABILITY AND PHARMACOKINETICS OF SINGLE ASCENDING (24-HOUR, PART 1) AND MULTIPLE ASCENDING (120-HOUR, PART 2) INTRAVENOUS INFUSIONS OF PF-07304814 IN HOSPITALIZED PARTICIPANTS WITH COVID-19. — clinicaltrials.gov, 2021. — № NCT04535167 (23 червня).
- Britton Boras, Rhys M. Jones, Brandon J. Anson, Dan Arenson, Lisa Aschenbrenner. Discovery of a Novel Inhibitor of Coronavirus 3CL Protease for the Potential Treatment of COVID-19. — 2021. — 12 February. — P. 2020.09.12.293498. — DOI:.
- Dafydd R. Owen, Charlotte M. N. Allerton, Annaliesa S. Anderson, Lisa Aschenbrenner, Melissa Avery. An oral SARS-CoV-2 Mpro inhibitor clinical candidate for the treatment of COVID-19 // Science. — Т. 0, вип. 0. — С. eabl4784. — DOI:.
- Tao Li, Jack Liang, Alexandre Ambrogelly, Tim Brennan, Guy Gloor. Efficient, Chemoenzymatic Process for Manufacture of the Boceprevir Bicyclic [3.1.0Proline Intermediate Based on Amine Oxidase-Catalyzed Desymmetrization] // Journal of the American Chemical Society. — 2012. — Т. 134, вип. 14 (11 квітня). — С. 6467–6472. — ISSN 0002-7863. — DOI:.

