Автокаталітична реакція Перкіна
Автокаталітична реакція Перкіна (рос. автокаталитическая реакция Перкина, англ. autocatalytic Perkin reaction) —
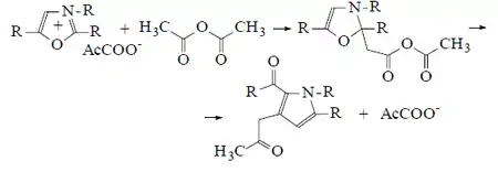
С-С-Приєднання ангідридного залишка по кратному зв'язку (пр., С=N+) ацетатів катіоноїдних сполук (пр., гетероциклічних) в оцтовому ангідриді (чи його аналогах), що автокаталізується субстратним аніоном солі, як основним агентом. Реакція супроводиться подальшою рециклізацією гетероциклу.

Крім ацетатів так можуть реагувати аналогічні солі інших слабких кислот, аніони яких є сильними основами.
Див. також
Джерела
- Глосарій термінів з хімії // Й.Опейда, О.Швайка. Ін-т фізико-органічної хімії та вуглехімії ім.. Л. М. Литвиненка НАН України, Донецький національний університет — Донецьк: «Вебер», 2008. — 758 с. ISBN 978-966-335-206-0
This article is issued from Wikipedia. The text is licensed under Creative Commons - Attribution - Sharealike. Additional terms may apply for the media files.