Реакція Перкіна
Реа́кція Пе́ркіна — метод синтезу β-арилакрілових кислот (коричної кислоти, її похідних та аналогів) взаємодією ароматичних альдегідів з ангідридами карбонових кислот у присутності каталізаторів основного характеру (лужних солей карбонових кислот, третинних амінів тощо). Розроблено Вільямом Перкіним в 1868 році.
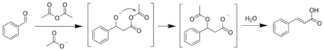
Реакція протікає за механізмом:
Див. також
Джерела
- Perkin, W. H.; J. Chem. Soc. 1868, 21, 53, 181.
- Perkin, W. H.; J. Chem. Soc. 1877, 31, 388.
- Johnson, J. R.; Org. React. 1942, 1, 210; Органические реакции, пер. с англ., сб. 1. M., 1948, с. 267–344.
- House, H. O. Modern Synthetic Reactions (W. A. Benjamin, Menlo Park, California, 2nd ed, 1972) pp 660–663.
- Rosen, T.; Comp. Org. Syn. 1991, 2, 395–408.
This article is issued from Wikipedia. The text is licensed under Creative Commons - Attribution - Sharealike. Additional terms may apply for the media files.

