Реакція Віттіга
Реа́кція Ві́ттіга або Олефінува́ння Ві́ттіга — хімічна реакція, при якій у результаті взаємодії альдегіду або кетону з трифенілфосфонієвим ілідом утворюється алкен і трифенілфосфаноксид[1][2].

Реакція Віттіга була відкрита у 1954 році Георгом Віттігом, за що він отримав у 1979 році Нобелівську премію з хімії. Ця реакція широко використовується в органічному синтезі для отримання молекул з подвійним С-С зв'язком[3][4][5]. Ця реакція була першою реакцією олефінування, в якій розрив зв'язку C-H був замінений на разрив слабкішого зв'язку C-M, а формування зв'язку H-LG - на формування сильнішого M-LG зв'язку. Див. огляд реакцій олефінування.
Реакцію Віттіга найчастіше використовують для поєднання карбонільних сполук з фосфонієвими ілідами. У випадку реакції з простими ілідами утворюється лише Z-алкен. Для отримання E-алкену використовують модифікацію Шлоссера.
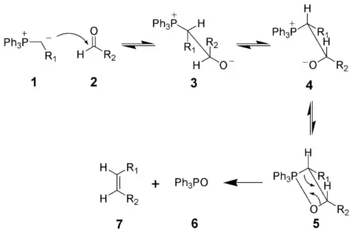
Механізм реакції
Об'ємні замісники іліду 1 впливають на стереохімічний результат нуклеофільного приєднання, у результаті якого утворюється бетаїн 3. Варто відмітити, що в молекулі бетаїну 3 замісники R1 та R2 як і PPh3+ and O- знаходяться в положенні анти (тобто транс-діаксіальному положенні) один до одного.
Обертання Карбон-Карбонового зв'язку призводить до утворення бетаїну 4, який потім перетворюється на оксафосфетан 5, що, в свою чергу, у результаті реакції елімінування перетворюється на Z-алкен 7 та оксид трифенілфосфіну 6. З простими реагентами Віттіга (ілідами) перший етап проходить досить легко і з кетонами, і з альдегідами, тому саме розкладання бетаїну (з утворенням 5) визначає загальну швидкість реакції. Однак при використанні стабілізованих ілідів (де R1 стабілізує негативний заряд на Карбоні) перший крок є найповільнішим і загальна швидкість реакції утворення алкенів зменшується і більша частина продукту буде E-алкен. Це також пояснює чому стабілізовані іліди погано реагують з стерично заміщеними кетонами.

Примітки
- Georg Wittig, Ulrich Schöllkopf (1954). Über Triphenyl-phosphin-methylene als olefinbildende Reagenzien I. Chemische Berichte 87 (9): 1318. doi:10.1002/cber.19540870919.
- Georg Wittig, Werner Haag (1955). Über Triphenyl-phosphin-methylene als olefinbildende Reagenzien II. Chemische Berichte 88 (11): 1654–1666. doi:10.1002/cber.19550881110.
- Maercker, A. Org. React. 1965, 14, 270–490. (Review)
- W. Carruthers, Some Modern Methods of Organic Synthesis, Cambridge University Press, Cambridge, UK, 1971, pp81-90. (ISBN 0-521-31117-9)
- R. W. Hoffmann (2001). Wittig and His Accomplishments: Still Relevant Beyond His 100th Birthday. Angewandte Chemie International Edition 40 (8): 1411–1416. PMID 11317288. doi:10.1002/1521-3773(20010417)40:8<1411::AID-ANIE1411>3.0.CO;2-U.
Посилання
- Реакція Віттіга на сайті organic-chemistry.org (англ.)
Джерела
- Глосарій термінів з хімії // Й.Опейда, О.Швайка. Ін-т фізико-органічної хімії та вуглехімії ім. Л.М.Литвиненка НАН України, Донецький національний університет — Донецьк: «Вебер», 2008. — 758 с. — ISBN 978-966-335-206-0
- Clayden J., Greeves N., Warren S. Organic chemistry. — Oxford University Press, 2001. — P. 357. — ISBN 978-0198503460.
- Kürti, László; Czakó, Barbara (2005). Strategic Applications of Named Reactions in Organic Synthesis. Elsevier Academic Press. с. 486. ISBN 0-12-429785-4.(англ.)