Реакція Маяра
Реакція Мая́ра (англ. Maillard reaction) або реакція меланоїдиноутворення[1] — реакція взаємодії амінокислот з редукуючими цукрами під впливом високої температури з утворенням забарвлених (меланоїдинів) та ароматичних сполук. Має дуже важливе значення у приготуванні їжі. Реакція Маяра призводить до утворення численних продуктів часом з досить складною і часто ще не дослідженою структурою.
Історія

Реакцію неферментативного глікозилювання як результат взаємодії вуглеводів з амінокислотами вперше описав Луї Каміль Маяр (фр. Louis Camille Maillard) у 1912 році[2]. Він змішував амінокислоти і цукри, нагрівав розчини і спостерігав за реакцією. Вчений зауважив утворення в пробірці сполук коричневого кольору. Що за речовини утворилися в процесі реакції, Маяр не встановив. Він зазначив лише їхню схожість з гумином ґрунту. Пізніше, виходить понад 30 публікацій і докторська дисертація Маяра «Генезис білків. Дія гліцерину і цукрів на амінокислоти», де автор встановив декілька стадій протікання цієї взаємодії. У 1953 році американський хімік англ. John E. Hodge описав механізм цієї реакції[3].
Хімія процесу на прикладі живих організмів

Реакція може протікати не тільки в продуктах, але також у живих організмах, зокрема в людині.
Взаємодія між відновлюючими моносахаридами та аміногрупами біомолекул без участі ферментів у клітинах живих організмів отримала назву глікація.
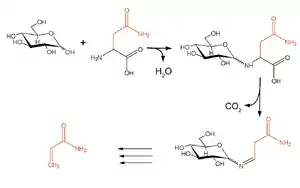
Внаслідок глікації утворюються продукти конденсації, ізомеризації та розпаду чисельних проміжних сполук цього складного процесу. На сьогодні широко застосовується поняття хімія Маяра (англ. Maillard chemistry), яке об'єднує цілий комплекс послідовних та паралельних реакцій, що призводять до утворення великої кількості різноманітних за своєю природою та властивостями речовин. Початковим етапом цих перетворень, які за своєю складністю і непередбачуваністю нагадують вільнорадикальні ланцюгові реакції, є ковалентна взаємодія між карбонільною та аміногрупою біомолекул. Найчастіше мішенями для неферментативного приєднання вуглеводного компонента є аміногрупи в залишках лізину та аргініну, а також N-термінальні аміногрупи білків. Окрім вільних аміногруп, нуклеофільні групи гістидину та триптофану теж можуть взаємодіяти з простими цукрами. Оскільки не тільки відновлюючі цукри містять активну карбонільну групу, напрям та характер наступних перетворень залежить також від типу карбонільної сполуки, що ініціює процес. Речовини, які за фізіологічних умов здатні до неферментативного глікозилювання біомолекул, мають загальну назву агенти глікації (англ. glycating agents). Проміжні продукти глікації називаються карбонільними інтермедіатами (англ. carbonyl intermediates). Внаслідок наступних неферментативних взаємодій за участю агентів глікації та карбонільних інтермедіатів у клітині формуються та накопичуються досить стабільні кінцеві продукти глікації (англ. advanced glycation end products), більшість яких є адуктами білкової та ліпідної природи. З огляду на складність процесу неферментативного глікозилювання, існує його умовний поділ на етапи, який ґрунтується на черговості появи у клітині певних продуктів глікації. Наприклад, внаслідок взаємодії карбонільної групи глюкози та аміногрупи будь-якої біомолекули на першому етапі утворюється нестабільна основа Шиффа, яка відразу може піддаватися перетворенню Амадорі. Перетворення Амадорі це процес ізомеризації, що призводить до формування стабільніших за основи Шиффа кетоамінів або продуктів Амадорі. Інша загальна назва продуктів Амадорі, які є похідними гексоз – фруктозаміни. Продукти Амадорі, зазвичай, визначають як ранні продукти глікації. Хоча ці сполуки є стійкішими за основи Шиффа, вони теж характеризуються відносною нестабільністю і швидко вступають у наступні перетворення, зокрема піддаються фрагментації, перегрупуванню та повторній взаємодії з аміногрупами. Саме на цій стадії у клітині з'являються карбонільні інтермедіати, які далі перетворюються на стабільні кінцеві продукти глікації[2].
Різні види цукрів мають різну активність у реакції, зокрема пентози у 100—200 разів активніші ніж гексози[4].
Значення у кулінарії
Реакція Маяра займає провідне місце у кулінарії. Вона протікає при смаженні м'яса, приготуванні випічки, обжарюванні кави. Завдяки цій реакції формується смак та аромат готових страв після термічної обробки. Крім того темно забарвленні меланоїдини відповідають за утворення рум'яної скоринки. Реакція починає протікати швидко при температурі вище 140 °C. Після досягання 180 °C вона закінчується та речовини починають розкладатись шляхом піролізу[5]. Внаслідок цього багато рецептів для смаження та запікання вимагають дотримуватись при приготуванні саме цього діапазону температур.
Різноманітність ароматів реакції Маяра залежить від умов протікання і від вихідних продуктів. Деякі амінокислоти мають атом сірки в своєму складі, що ще більше збільшує число можливих продуктів реакцій. Як приклад, внаслідок реакції можуть утворюватись наступні речовини — пірол, піридини, піразини, імідазол, оксазоліл, фурантіоли, альдегіди, алкілпіразіни та інші. З конкретних прикладів: 2-фуранілметантіол утворюється при смаженні кави, оксопропанол та метилфурфураль відповідають за формування смаку та аромату запеченого м'яса[4].
Реакція Маяра у організмі людини
В організмі реакція Маяра зазвичай протікає повільно, а продукти реакції швидко виводяться з організму. Але в організмі хворих на цукровий діабет ця реакція може призводити до накопичення продуктів реакції та порушення функцій організму та ураження внутрішніх органів. Також вважається, що продукти реакції Маяра впливають на швидкість старіння організму[2].
Примітки
- Білки: будова, властивості, перетворенні у процесі харчування.
- Молекулярні механізми адаптації дріжджів Saccharomyces cerevisiae до стресових чинників
- Hodge, J. E. (1953). Dehydrated Foods, Chemistry of Browning Reactions in Model Systems. Journal of Agricultural and Food Chemistry 1 (15): 928–43. doi:10.1021/jf60015a004.(англ.)
- Все о реакции Маяра или «вкусная» пищевая химия(рос.)
- The Maillard Reaction(англ.)
