Реакція Раймера — Тімана
Реакція Раймера — Тімана (англ. Reimer — Tiemann reaction) — синтез ароматичних оксиальдегiдiв взаємодiєю фенолiв з хлороформом (бромоформом) у лужному середовищі.[1][2][3][4][5]

The Reimer-Tiemann reaction
Механізм реакції

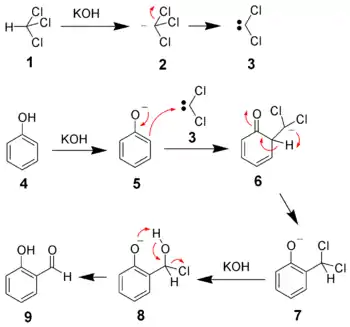
The mechanism of the Reimer-Tiemann reaction
При взаємодії хлороформу (1) з сильною основою утворюються карбаніони (2), які зазнають швидкого альфа-елімінування з утворенням діхлоркарбену (3). Діхлоркарбен взаємодіє з орто положенням фенолят-іона (5) з утворенням дихлорметилзаміщеного фенолу (7). Після лужного гідролізу і відповідної таутомеризації утворюється продукт орто-формілювання (9).
Література
- Глосарій термінів з хімії // Й. Опейда, О. Швайка. Ін-т фізико-органічної хімії та вуглехімії ім. Л. М. Литвиненка НАН України, Донецький національний університет. — Донецьк : Вебер, 2008. — 758 с. — ISBN 978-966-335-206-0
Примітки
- Reimer, K. and Tiemann, Ferd, K.; Tiemann, Ferd. (1876). Ueber die Einwirkung von Chloroform auf Phenole und besonders aromatische Oxysäuren in alkalischer Lösung. Berichte der deutschen chemischen Gesellschaft 9 (2): 1268–1278. doi:10.1002/cber.18760090270. Процитовано 3 січня 2014.
- Wynberg, Hans (1960). The Reimer-Tiemann Reaction. Chemical Reviews 60 (2): 169–184. doi:10.1021/cr60204a003. Процитовано 3 січня 2014.
- Wynberg, Hans and Meijer, Egbert, Hans; Meijer, Egbert W. (2005). The Reimer–Tiemann Reaction. Wiley Online Library: pg.14. ISBN 9780471264187. doi:10.1002/0471264180.or028.01. Процитовано 3 січня 2014.
- Dauben, William G. (1982). Organic Reactions, Volume 28. Hoboken, NJ: Wiley-Interscience. с. 347. ISBN 978-0471861416.
- Wynberg, Hans (1991). The Reimer–Tiemann Reaction. Comprehensive Organic Synthesis 2 (Part 2): 769–775. ISBN 978-0-08-052349-1. doi:10.1016/B978-0-08-052349-1.00048-2. Процитовано 3 січня 2014.
This article is issued from Wikipedia. The text is licensed under Creative Commons - Attribution - Sharealike. Additional terms may apply for the media files.