Фенол
Фено́л (карболка, карболова кислота) — органічна сполука складу C6H5OH. За звичайних умов фенол є білою або безбарвною кристалічною речовиною із солодкуватим запахом, помірно розчинною у воді.
| Фенол | |
|---|---|
![]() |
![]() |
![]() | |
| Назва за IUPAC | фенол[1] |
| Систематична назва | гідроксибензен |
| Інші назви | гідроксибензол карболова кислота |
| Ідентифікатори | |
| Номер CAS | 108-95-2 |
| Номер EINECS | 203-632-7 |
| DrugBank | 03255 |
| KEGG | D00033 і C00146 |
| ChEBI | 15882 |
| RTECS | SJ3325000 |
| Код ATC | D08AE03, N01BX03, C05BB05 і R02AA19 |
| SMILES |
C1=CC=C(C=C1)O[2] |
| InChI |
InChI=1S/C6H6O/c7-6-4-2-1-3-5-6/h1-5,7H |
| Номер Бельштейна | 969616 |
| Номер Гмеліна | 2794 |
| Властивості | |
| Молекулярна формула | C6H6O |
| Молярна маса | 94,111 г/моль |
| Густина | 1,0722 г/см³ (при 20 °C) 1,0545 г/см³ (при 45 °C) |
| Тпл | 40,89 °C[3] |
| Ткип | 181,87 °C[3] |
| Кислотність (pKa) | 9,99 |
| Діелектрична проникність (ε) | 12,40 (при 30 °C) 9,78 (при 60 °C) |
| Показник заломлення (nD) | 1,5408 (при 41 °C) |
| Дипольний момент | 1,224±0,008 Д |
| Термохімія | |
| Ст. ентальпія утворення ΔfH |
-165,1 кДж/моль (тв.) |
| Ст. ентропія S |
144,0 Дж/(моль·K) (тв.) |
| Теплоємність, c |
127,4 Дж/(моль·K) (тв.) |
| Небезпеки | |
| Температура спалаху | 79 °C |
| Температура самозаймання | 715 °C |
| Вибухові границі | 1,8—8,6% |
| Якщо не зазначено інше, дані наведено для речовин у стандартному стані (за 25 °C, 100 кПа) | |
| Інструкція з використання шаблону | |
| Примітки картки | |
Молекула фенолу складається з бензенового ядра, безпосередньо до якого приєднана гідроксильна група (альтернативна назва фенолу — гідроксибензен чи гідроксибензол). Наявність гідроксильної групи визначає приналежність фенолу до ряду спиртів, а окрім цього він є найпростішим представником ряду фенолів, в яких до бензенового кільця приєднано одну або більше гідроксильну групу.
Оскільки гідроксильна група у молекулах спиртів визначає кислотні властивості, раніше фенол мав назву карболова кислота. Проявляючи кислотні властивості, фенол, аналогічно до інших спиртів, взаємодіє з лугами із утворенням солей — фенолятів.
Феноли — слабкі кислоти. Близькість бензольного кільця посилює полярність групи ОН, що дозволяє виділяти з нього водень у вигляді протона. Спирти, в яких група OH приєднана до вуглецевого ланцюга, є натомість нейтральними сполуками.
Будова
Молекула фенолу є пласкою, кут H—O—C є рівним 120°, що вказує на фактичне перебування атома Оксигену у стані sp²-гібридизації.
Атом у гідроксильній групі має негативний індуктомерний ефект (відтягує на себе електронну густину). Проте одна з p-орбіталей на атомі Оксигену, утворена неподіленою електронною парою, знаходиться перпендикулярно до площини бензенового кільця і вступає у спряження з його π-системою. У підсумку +M мезомерний ефект переважає -I індуктомерний, таким чином зміщуючи електронну густину до положень орто і пара.
Історія

Фенол був відкритий у 1834 році Фрідлібом Фердинандом Рунге, який виділив його з кам'яновугільної смоли шляхом перегонки, а також і запропонував назву для новоствореної речовини — карболова кислота.
У чистому вигляді фенол вперше був отриманий у 1841 році Огюстом Лораном, який також зміг визначити його якісний склад. Він запропонував назву фенолова кислота, яку Шарль Фредерік Жерар скоротив до сучасного фенол. Крапку у ґрунтовному дослідженні фенолу поставив Август Кекуле в 1858 році, встановивши його будову.
Основним застосуванням фенолу у 19 столітті було приготування антисептиків і дезінфектантів. Знезаражування у лікарській справі за допомогою фенолу було відкрите і широко впроваджене британським хірургом Джозефом Лістером у 1860-х роках. Він обробляв фенолом не лише відкриті рани, а й хірургічні інструменти, завдяки чому зміг скоротити кількість летальних випадків під час операцій з 50 до 15 %.
Стрімке зростання попиту на фенол припадало на періоди масового виробництва речовин, які були похідними фенолу, зокрема, саліцилової кислоти, відкритої у 1897 році, феноловмісних синтетичних смол на кшталт бакеліту після Першої світової війни, а також бісфенолів і полікарбонатів після Другої світової.
Фізичні властивості

За кімнатної температури фенол є білими або безбарвними кристалами, котрі поступово рожевіють за наявності домішок або при дії світла чи повітря.
У проміжку від 0 до 65 °C фенол обмежено розчиняється у воді, а вище 65,3 змішується у будь-яких пропорціях. Він добре розчиняється у спиртах, бензені, хлороформі, етерах,
В'язкість фенолу із підвищенням температури змінюється наступним чином:
| Температура, °C | 50 | 75 | 100 |
| В'язкість, мПа·с | 3,437 | 1,784 | 1,099 |
Отримання
Близько 95 % фенолу в масштабах сучасного виробництва синтезують за куменовим (кумольним) методом, розробленим у 1942 році у таборі ГУЛАГ Рудольфом Удрісом і Петром Сергєєвим:
Суттєво менше практичне значення мають методи окиснення толуену (через бензойну кислоту), методи отримання фенолу після сульфонування і хлоруванням бензену.
Хімічні властивості

Феноли із малими (великими ) є слабкими ОН-кислотами та навпаки (за малих ) - сильними ОН-кислотами. Кислотність фенолів визначається стабільністю утворюваних за дисоціації фенолят-аніонів. Електрон-акцепторні замісники у бензольному кільці збільшують, а електрон-донорні - зменшують ОН-кислотність відповідних фенолів.
Гідроксильна група є кислотною, однак, порівняно з аліфатичними спиртами, у фенолі вона проявляє вищу кислотність. Це пояснюється резонансною стабілізацією фенолят-іонів:

Найбільший вплив на ОН-кислотність фенолів здійснюють замісники в орто(пара)-положеннях бензольного кільця.
Фенол взаємодіє з водними розчинами лугів та алкоголятами лужних металів із утворенням фенолятів:
Однак фенол все ж залишається дуже слабкою кислотою — фенолят-іон витісняється із солей навіть карбонатною кислотою:
Фенол утворює етери при взаємодії з первинними алкілгалогенідами у лужному середовищі (наприклад, за реакцією Вільямсона):
Створення лужного середовища необхідне для утворення фенолят-іонів, які є значно активнішими за фенол, котрий не здатен брати участь у такій реакції.
Фенол володіє низькою нуклеофільністю, тому в реакції утворення естерів він вступає лише із активними галогенангідридами або ангідридами карбонових кислот:
Характерною реакцією фенолу, за якою його можна виявити серед інших речовин, є реакція з розчином хлориду феруму(ІІІ) Унаслідок зливання розчинів речовин утворюється координаційна сполука фіолетового кольору:
Тут атом Феруму хімічно пов'язаний із трьома фенолят-аніонами, а ще три молекули фенолу координує довкола себе через атоми Оксигену, таким чином створюючи характерне для себе координаційне число 6.
Реакції за бензеновим ядром
Реакція із бромною водою є якісною реакцією на фенол (утворюється осад 2,4,6-трибромофенолу). Із збільшенням кислотності полібромпрованих фенолів швидкість бромування збільшується, тому зупинитися на монобромзаміщеному фенолі неможливо.

Флуоропохідні фенолу синтезують переважно через солі діазонію за реакцією Шимана, а введення у цикл іншого галогену, йоду, можливе у присутності окисників на кшталт пероксиду водню або нітритної кислоти:
Для отримання нітропохідних фенолу застосовують розведену (20 %) нітратну кислоту, а саму реакцію проводять на холоді. При цьому утворюється суміш ізомерів:
Введення альдегідної групи можливе за реакцією Раймера—Тімана, яка проходить за орто-положенням. У лужному середовищі при взаємодії фенолу та хлороформу спочатку утворюється заміщений бензиліденхлорид, який згодом гідролізується:
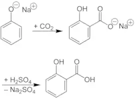
Велике практичне значення мають реакції введення у бензенове ядро карбоксильної групи (карбоксилювання), зокрема реакція Кольбе — Шмітта — нагрівання з вуглекислим газом за температури 120—140 °C і тиску 4—7 атм. Саме у цей метод вівся синтез саліцилової кислоти:
Хоч за цим методом утворюється також деяка кількість пара-ізомеру, суміш легко розділити на основі відмінності у леткості (більш летким є основний, орто-ізомер).
Іншою промислово важливою властивістю фенолу є кополімеризація із формальдегідом, яка дала можливість для створення фенолоформальдегідних смол:
Токсичність
Фенол виявляє властивості протоплазматичної отрути і є небезпечним для будь-яких тканин в організмі. Типовими шляхами потрапляння фенолу до організму є проковтування, вдихання парів, а також всмоктування крізь шкіру. Оскільки він має анестетичну дію, при його контакті зі шкірою не відчувається болю, але той з'являється із часом, супроводжуючись появою опіків. При всмоктуванні крізь шкіру великої кількості фенолу відбувається ураження ЦНС і кровоносних судин, можлива поява фенольної гангрени.
Пари фенолу здатні подразнювати очі та дихальні шляхи. Згідно з дослідженнями Національного інституту охорони праці (США) за стандартного 40-годинного робочого тижня присутність фенолу у повітрі є небезпечною, починаючи із концентрації 20 мг/м³.
Використання фенолу в роботі вимагає застосовування захисного одягу, зокрема, окулярів і гумових рукавиць. При потраплянні фенолу на шкіру необхідно ретельно промити уражене місце водою, а згодом і поліетиленгліколем. У разі потрапляння до очей їх потрібно промити водою протягом 10 хвилин, а при вдиханні парів необхідно надати ураженому доступ до свіжого повітря.
Застосування
Світове виробництво фенолу у 2003 році сягнуло 7,3 мегатонн. Близько 37 % усього фенолу було використано у виробництві бісфенолу А — основи полікарбонатних пластмас та епоксидних смол. Другим найзначнішим напрямом у застосуванні фенолу є виробництво фенолоформальдегідних смол. Менш поширеним є використання фенолу у синтезі капролактаму, аніліну, алкілфенолів, саліцилової кислоти
Примітки
- Chapter 6. Preferred IUPAC Names. Application To Specific Classes Of Compounds // IUPAC Provisional Recommendations. — 2004. — P. 36. (англ.)
- phenol
- За тиску 101,3 кПа.
Посилання
Джерела
- Myers, Richard L. The 100 Most Important Chemical Compounds. — Westport, CT : Greenwood Press, 2007. — P. 214. — ISBN 978-0-313-33758-1. (англ.)
- CRC Handbook of Chemistry and Physics / Lide, D. R., editor. — 86th. — Boca Raton (FL) : CRC Press, 2005. — 2656 p. — ISBN 0-8493-0486-5. (англ.)
- Wallace, J. Phenol // Kirk-Othmer Encyclopedia of Chemical Technology. — 4th. — New York : John Wiley & Sons, 2004. — ISBN 978-0-471-48517-9. — DOI: (англ.)
- Weber Manfred, Weber Markus, Kleine-Boymann, M. Phenol // Ullmann's Encyclopedia of Industrial Chemistry. — 6th. — Weinheim : Wiley-VCH, 2005. — DOI: (англ.)
- Травень В. Ф. Органическая химия. Учебник для вузов. — М. : ИКЦ «Академкнига», 2006. — Т. 2. — С. 63—69. — ISBN 5-94628-068-6. (рос.)
- Чирва В. Я., Ярмолюк С. М., Толкачова Н. В., Земляков О. Є. Органічна хімія. — Львів : БаК, 2009. — 996 с. — ISBN 966-7065-87-4.



.png.webp)








