Статистика Фермі — Дірака
Статистика Фермі — Дірака — особливий вид розподілу частинок за енергією, характерний для ферміонів.
| Статистична фізика |
|---|
|
Термодинаміка Кінетична теорія |
|
Статистики Максвелла — Больцмана · Бозе — Ейнштейна · Фермі — Дірака · Парастатистика · Еніонна статистика · Статистика кіс |
|
Ансамблі |
|
Моделі |

Оскільки ферміони — це частинки, які не можуть перебувати в квантовомеханічному стані з однаковими квантовими числами, ця заборона накладає обмеження на їхній розподіл за енергією. Ймовірність знайти ферміон у певному стані із енергією задається формулою
- .
Тут — хімічний потенціал, — стала Больцмана, T — температура.
Характерною особливістю цього розподілу є одиниця в знаменнику. Вона визначає особливий вигляд розподілу Фермі - Дірака.
Хімічний потенціал визначається із умови нормування розподілу й залежить від повного числа часток в системі N.
- .
Властивості
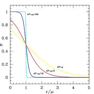
В основному стані ферміони займають якомога нижчі енергетичні рівні. Накладена принципом виключення Паулі заборона призводить до того, що при нульовій температурі, коли реалізується основний стан, усі найнижчі одноферміонні рівні зайняті. Найвищий зайнятий у такому стані рівень називається рівнем Фермі. Функція розподілу має вигляд сходинки (див. рисунок)
При збільшенні температури, існує певна ймовірність того, що ферміони системи матимуть енергію, вищу за енергію рівня Фермі. Завдяки цьому існує відмінна від нуля ймовірність того, що рівень із енергією нижчою за енергією рівня Фермі, стане вільним. Чим вища тепература, тим пологішою стає крива розподілу. При дуже високих температурах розподіл Фермі — Дірака переходить у класичний розподіл Максвелла — Больцмана.
Посилання
- Елементи фізики твердого тіла[недоступне посилання з червня 2019]