Таніни
Тані́ни або тані́ди — група фенольних сполук рослинного походження, що містять велике число гідроксильних груп (-OH). Молярна маса 500—3 000 г/моль. Таніни мають дубильні властивості та характерний в'язівний смак. Дубильна дія заснована на їхній властивості утворювати міцні сполуки з білками, полісахаридами та іншими біополімерами.
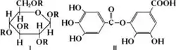
| Структурні елементи: | ![]() |
![]() |
|---|---|---|
| Класи танідів: | Гідролізні | Конденсовані |

Формула танінів

Пляшка танінової кислоти (C76H52O46)

Чашка чаю

Гранат багатий на танін (Дубильні речовини)
Харчовий барвник
Харчовий барвник танін зареєстрований як харчовий додаток під номером Е181. Натуральний світло-жовтий барвник добувають з кори акації, каштану та інших багатих на таніни дерев.
Див. також
Література
- Фармацевтична хімія : [арх. 11 березня 2021] : підручник / ред. П. О. Безуглий. — Вінниця : Нова Книга, 2008. — 560 с. — ISBN 978-966-382-113-9. (С.?)
- Фармакологія: підручник / І.В. Нековаль, Т.В. Казанюк. — 4-е вид., виправл. — К.: ВСВ «Медицина», 2011.— 520 с. ISBN 978-617-505-147-4
- Н. С. Зефиров, Н. Н. Кулов и др. Химическая энциклопедия.том 4. — М.: «Большая российская энциклопедия», 1995. ISBN 5-85270-092-4 (С.?)
- «Chemistry and significance of condensed tannins» (1989). Ed. by Hemingway R.W. and Karchesy J.J.. Plenum Press, New York 47-60.
This article is issued from Wikipedia. The text is licensed under Creative Commons - Attribution - Sharealike. Additional terms may apply for the media files.

