Тіотриазолін
Тіотриазолін (лат. Thiotriazolinum) — синтетичний лікарський препарат, що застосовується як кардіопротектор та гепатопротектор, та має антиоксидантну, мембраностабілізуючу, антиішемічну, антиаритмічну, імуномодулюючу, противірусну та регенеративну дію[2]. Тіотріазолін є першим оригінальним лікарським препаратом, створеним українськими науковцями[2][3], та запровадженим у широку клінічну практику.
![]() | |
|---|---|
Тіотриазолін
| |
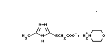
| Систематизована назва за IUPAC | |
| Morpholine 5-methyl-1,2,4-triazoline-5-thioacetate | |
| Класифікація | |
| ATC-код | C01 |
| PubChem | |
| CAS | |
| DrugBank | |
| Хімічна структура | |
| Формула | C9H16N4O3S |
| Мол. маса | 253,252 г/моль |
| Фармакокінетика | |
| Біодоступність | 53 % (перор.), 100 % (в/в) |
| Метаболізм | НД |
| Період напіввиведення | 8 год. |
| Екскреція | Нирки |
| Реєстрація лікарського засобу в Україні | |
| Назва, фірма-виробник, країна, номер реєстрації, дата | ТІОТРИАЗОЛІН, АТ"Галичфарм", Україна UA/2931/01/02 15.02.2010-15/02/2015 |
Історія створення
Початок розробки лікарського засобу «тіотриазолін» сягає 80-х років минулого століття, коли на кафедрі фармацевтичної хімії Запорізького медичного інституту під керівництвом професора Мазура Івана Антоновича проводились синтез та дослідження нових хімічних сполук[2]. У 1986 році серед цих речовин для подальших досліджень було відібрано сполуку під початковою назвою Е8252 (за хімічний складом морфоліній 5-метил-1,2,4-тріазолін-5-тіоацетат), яка надалі і отримала назву тіотриазолін. На початкових стадіях досліджувались фармакологічні властивості, токсичність, мутагенність та канцерогенність нової сполуки. Загальнотоксична дія тіотриазоліну досліджувалась із 1989 до 1991 року згідно з вимогами Фармакологічного Комітету Міністерства охорони здоров'я СРСР, у тому числі у клініках Військово-медичної академії імені С. М. Кірова та московському НДІ геронтології[2]. Друга стадія клінічних досліджень тіотріазоліну проведена у 1993 році на клінічних базах вищих медичних навчальних закладів та науково-дослідних інститутів Києва, Харкова, Донецька та Запоріжжя; та закінчилась наданням дозволу до клінічного застосування тіотриазоліну Фармакологічним комітетом МОЗ України у 1994 році[2]. У 1994 році також уперше налагоджено виробництво ін'єкційних розчинів та таблеток тіотриазоліну на заводі «Галичфарм» у Львові[2]. У подальшому було розроблено інші лікарські форми тіотриазоліну — очні краплі[4], мазь[5], суппозиторії[6] та комбінації тіотриазоліну з іншими лікарськими засобами. Після успішного впровадження у клінічну практику в Україні тіотриазолін був зареєстрований для медичного застосування у Білорусі[7], Казахстані[8], Молдові, Грузії, Узбекистані, Азербайджані[2]; а з 2010 року — у Росії[2][9][10]. З 1999 року, згідно з наказом МОЗ України, тіотриазолін включений до переліку життєво необхідних лікарських засобів[2][11].
Фармакологічні властивості
Тіотриазолін є синтетичним кардіо- та гепатопротектором[1]. Тіотриазолін запобігає пошкодженню та загибелі гепатоцитів; зменшує жирову інфільтрацію та поширення некрозу печінки; активує процеси регенерації гепатоцитів та нормалізує у них білковий, вуглеводний, ліпідний та пігментний обмін; прискорює виділення жовчі та покращує її хімічний склад[1]. Тіотриазолін активує антиоксидантну систему та переводить вільні радикали кисню у неактивний стан, що допомагає зберегти резерви неферментативного антиоксиданту — токоферолу[3]. Препарат підвищує компенсаторну активацію анаеробного гліколізу та зменшує пригнічення процесів окислення у циклі Кребса зі збереженням резервів АТФ[1]. Тіотриазолін також має мембраностабілізуючі властивості. Ці властивості препарату застосовуються при розвитку у хворих запальних та імунологічних реакцій, оскільки проходить стабілізація мембран базофілів, лаброцитів та еозинофілів; що обмежує викид біогенних амінів (гістаміну, серотоніну) у кров'яне русло. Окрім цього, тіотриазолін має здатність до стабілізації мембран інших клітин, зокрема гепатоцитів, що зменшує прояви цитолітичного синдрому при ураженнях печінки[3]. Тіотриазолін має також антиішемічні властивості, що полягає у активації антиоксидантної системи та гальмуванні процесу окислення ліпідів в уражених ділянках міокарду, знижує чутливість серцевого м'яза до дії катехоламінів, зменшує пригнічення скоротливої активності міокарду та зменшує розміри зони некрозу та ішемії. Окрім цього, препарат покращує реологічні властивості крові за рахунок активації фібринолітичної системи[1] та покращення мікроциркуляції в тканинах[12]. Препарат має також антиаритмічні властивості, які спостерігалися при застосуванні лікарського засобу як у дорослих, так і у дітей[3][13]. Тіотриазолін має також протизапальні, імуномодулюючі та анаболічні властивості. При дослідженнях виявлено також противірусні властивості препарату по відношенню до вірусів гепатиту B та гепатиту С. Поки що противірусна активність препарату є маловивченою та пов'язується із імуномодулюючими властивостями лікарського засобу[3]. Тіотриазолін також запобігає розвитку церебральної вазоділятації, що запобігає збільшенню локального коркового та сумарного мозкового кровообігу; зменшує явища астенії, парезів, афазії та покращує відновлення пам'яті та інших проявів вищих психічних функцій[3]. Тіотриазолін також стимулює репаративні процеси при місцевому застосуванні при захворюваннях очей[4], шкіри та слизової оболонки ротової порожнини[5], сечостатевої системи, прямої та сигмовидної кишки[6].
Фармакокінетика
Тіотриазолін після перорального та парентерального введення швидко всмоктується. Максимальна концентрація в крові після перорального прийому досягається протягом 1,6 години, після внутрішньом'язового введення — протягом 50 хвилин, а після внутрішньовенного введення — за 6 хвилин після застосування. При застосуванні тіотриазоліну у вигляді аплікацій у порожнині рота препарат всмоктується у кров, і максимальна концентрація лікарського засобу в крові спостерігається через 1,5 години після застосування препарату[5]. Препарат погано зв'язується з білками плазми крові. Тіотриазолін створює високі концентрації у багатьох тканинах організму; найвищі концентрації спостерігаються у нирках, міокарді, печінці, селезінці, прямій кишці; найнижчі концентрації — у легенях та тонкому кишечнику[1]. Біодоступність препарату при пероральному прийомі складає 53 %, при ректальному застосуванні біодоступність складає 60 %[1], при парентеральному застосуванні — до 100 %. Дані за метаболізм препарату відсутні. Виводиться тіотриазолін переважно із сечею. Період напіввиведення препарату складає 8 годин, немає даних про збільшення цього часу при порушеннях функції печінки та нирок.
Показання до застосування
Тіотриазолін застосовується у комплексному лікуванні хронічних гепатитів (у тому числі вірусних[3]), алкогольної хвороби печінки, фіброзу та цирозу печінки; у комплексному лікуванні ішемічної хвороби серця (у тому числі аритмій, стенокардії, інфаркту міокарду та постінфарктного кардіосклерозу), функціональних захворювань серця (у тому числі нейроциркуляторної дистонії). Тіотриазолін також застосовується при гострому панкреатиті[12]. У вигляді суппозиторіів препарат застосовується ректально при запальних та ерозивних ураженнях слизової оболонки прямої та сигмовидної кишки, а також анальної області; вагінально — при запальних та ерозивних процесах піхви та шийки матки, а також для пришвидшення епітелізації при порушеннях цілісності слизових оболонок після діатермокоагуляції та кріогенотерапії, а також після гінекологічних операцій[1]. У вигляді мазі тіотриазолін застосовується для лікування ран, які повільно загоюються, гранулюють та епітелізуються; пролежнів; трофічних виразок; при псоріазі; пародонтиті та виразках слизової оболонки ротової порожнини та ясен[5]. У вигляді очних крапель тіотриазолін застосовується при травмах та опіках очних яблук, запальних та дистрофічних ураженнях рогівки, при вірусних кератитах та кон'юнктивітах[1].
Побічна дія
При застосуванні тіотриазоліну можуть спостерігатися наступні побічні ефекти[14]:
- Алергічні реакції та з боку шкірних покривів — рідко (менше 1 %) висипання на шкірі, свербіж шкіри, гіперемія шкіри, гарячка; поодинокі випадки — набряк Квінке, кропив'янка та анафілактичний шок (один випадок за час спостереження).
- З боку травної системи — украй рідко нудота, блювота, здуття живота, сухість у роті (переважно в осіб похилого віку).
- З боку нервової системи — украй рідко загальна слабкість, запаморочення та шум у вухах (переважно в осіб похилого віку).
- З боку серцево-судинної системи — украй рідко (у осіб похилого віку) тахікардія та артеріальна гіпертензія (один випадок за період спостереження).
- З боку дихальної системи — у осіб похилого віку задишка (один випадок за період спостереження) та ядуха (один випадок за період спостереження).
- Зміни в лабораторних аналізах — при передозуванні підвищення концентрації у сечі калію та натрію.
Протипоказання
Абсолютним протипоказом до застосування тіотриазоліну є підвищена чутливість до препарату. Протипоказом до застосування тіотриазоліну в офіційних інструкціях вказано ниркову недостатність[1], але більш сучасними дослідженнями знижено обмеження для застосування препарату при нирковій недостатності[2]. З обережністю застосовується тіотриазолін при вагітності та годуванні грудьми (ефективність та безпека препарату не вивчалась у вагітних та годуючих жінок). Тіотриазолін рекомендований до застосування у дітей старших 5 років[14].
Нові сфери застосування
У Російській Федерації запатентовано консервуючий розчин для трансплантатів Б-2, до складу якого входить тіотриазолін[3][15].
Застосування у ветеринарії
Тіотріазолін застосовується у ветеринарії під назвою «Тіопротектин» і застосовується як кардіо- та гепатопротектор для собак та котів[16]. Для ветеринарного застосування препарат випускається у вигляді таблеток по 0,1[17] та ампул по 2 мл 2,5 % розчину[18]. У експерименті встановлено збільшення маси та кількості яєчного білка після передінкубаційної обробки яєць перепілок тіотриазоліном та зниження витрат корму на утримання птахів[19].
Форми випуску
Тіотриазолін випускається у вигляді ампул по 2 та 4 мл 1 % та 2,5 % розчину; у вигляді таблеток по 0,1 та 0,2 г; 2 % мазі по 25 г у тубі[5]; у вигляді суппозиторіїв «Далмаксин» по 0,2 г діючої речовини[6]; у вигляді очних крапель по 5 мл 1 % розчину[4]. Тіотриазолін разом із пірацетамом також входить до складу комбінованого препарату «Тіоцетам», який випускається у вигляді ампул та таблеток[20][21]. Тіотриазолін також разом із аміодароном входить до складу комбінованого препарату «Тіодарон», що випускається у таблетках[2][22]. Разом із індометацином тіотриазолін входить до складу комбінованого препарату «Індотрил»[2][23]. Зареєстровано патент на розробку протисудомного засобу на основі карбамазепіну та тіотриазоліну[24][25].
Примітки
- http://compendium.com.ua/akt/84/236/thyotriazolinum Архівовано 29 листопада 2014 у Wayback Machine. (рос.)
- http://irbis-nbuv.gov.ua/cgi-bin/irbis_nbuv/cgiirbis_64.exe?C21COM=2&I21DBN=UJRN&P21DBN=UJRN&IMAGE_FILE_DOWNLOAD=1&Image_file_name=PDF/Zmzh_2010_12_5_3.pdf (рос.)
- http://www.mif-ua.com/archive/article/5861 (рос.)
- http://lekmed.ru/lekarstva/zabolevaniya-glaz/tiotriazolin-kapli-glaznye.html (рос.)
- Архівована копія. Архів оригіналу за 29 листопада 2014. Процитовано 22 листопада 2014.
- http://www.lekhim.ua/products/tiatriazolin.html Архівовано 15 травня 2015 у Wayback Machine. (рос.)
- http://www.vidal.by/poisk_preparatov/thiotriazolin~24886.htm (рос.)
- http://www.vidal.kz/poisk_preparatov/thiotriazolin~24142.htm (рос.)
- http://www.rlsnet.ru/mnn_index_id_5584.htm (рос.)
- http://www.vidal.ru/drugs/molecule-in/2141 (рос.)
- http://search.ligazakon.ua/l_doc2.nsf/link1/KP011482.html
- http://health-ua.com/articles/992.html (рос.)
- http://www.apteka.uz/novosti_farmacevticheskih_i_medicinskih_kompaniy/tiotriazolin_v_kompleksnom_lechenii_funkcionalnyh_zabolevaniy_serdechno-sosudistoy_sistemy_u_detey_i_podrostkov1 (рос.)
- http://www.vidal.ru/drugs/molecule/2141 (рос.)
- http://ru-patent.info/21/40-44/2140152.html (рос.)
- http://www.petsinform.com/veterinary/statia/lekarstva/02.html (рос.)
- http://www.arterium.ua/uk/patsientam/katalog-produktsii/produkt/121%5Bнедоступне+посилання+з+липня+2019%5D
- Архівована копія. Архів оригіналу за 29 листопада 2014. Процитовано 23 листопада 2014.
- http://irbis-nbuv.gov.ua/cgi-bin/irbis_nbuv/cgiirbis_64.exe?C21COM=2&I21DBN=UJRN&P21DBN=UJRN&IMAGE_FILE_DOWNLOAD=1&Image_file_name=PDF/TvUkr_2013_6_11.pdf
- http://mozdocs.kiev.ua/likiview.php?id=25003
- http://mozdocs.kiev.ua/likiview.php?id=12735
- http://www.mif-ua.com/archive/article/2981 (рос.)
- http://mozdocs.kiev.ua/likiview.php?id=23979
- http://www.pharmencyclopedia.com.ua/article/1302/mazur-ivan-antonovich
- http://www.uapatents.com/10-81739-protisudomnijj-likarskijj-zasib-na-osnovi-karbamazepinu-ta-tiotriazolinu.html
Література
- Фармацевтична хімія : [арх. 11 березня 2021] : підручник / ред. П. О. Безуглий. — Вінниця : Нова Книга, 2008. — 560 с. — ISBN 978-966-382-113-9. (С.320-321)
