Тіофен
Тіофе́н — гетероциклічна органічна сполука, яка складається із чотирьох атомів карбону та одного атома сульфуру в пятичленному кільці. Тіофен є ароматичною сполукою — ароматичний секстет складають π-електрони атомів C та одна вільна електронна пара атома S. Друга вільна електронна пара атома S знаходиться на ортогональній р-орбіталі, здатна утворювати при певних умовах онієву систему.
| Тіофен | |
|---|---|
![]() Тіофен | |
| Назва за IUPAC | Тіофен |
| Інші назви | Тіофуран, Тіоциклопентадієн |
| Ідентифікатори | |
| Номер CAS | 110-02-1 |
| Номер EINECS | 203-729-4 |
| ChEBI | 30856 |
| RTECS | XM7350000 |
| SMILES |
C1=CC=CS1 |
| InChI |
InChI=1S/C4H4S/c1-2-4-5-3-1/h1-4H |
| Номер Бельштейна | 103222 |
| Номер Гмеліна | 26113 |
| Властивості | |
| Молекулярна формула | C4H4S |
| Молярна маса | 84,14 г/моль |
| Зовнішній вигляд | безбарвна рідина |
| Густина | 1,051 г/мл, рідина |
| Тпл | −38 °C |
| Ткип | 84 °C |
| Показник заломлення (nD) | 1,5287 |
| В'язкість | 8,712 cПз за 0,2 °C 6,432 cПз за 22,4 °C |
| Небезпеки | |
| MSDS | External MSDS |
| Класифікація ЄС | |
| NFPA 704 |
![]() 3
2
0
|
| Температура спалаху | −1 °C |
| Пов'язані речовини | |
| Інші (тіоетери) | Тетрагідротіофен Діетилсульфід |
| Пов'язані речовини | Фуран Пірол |
| Якщо не зазначено інше, дані наведено для речовин у стандартному стані (за 25 °C, 100 кПа) | |
| Інструкція з використання шаблону | |
| Примітки картки | |
Тіофен був вперше виявлений Віктором Меєром в 1883 році як забруднювач бензену[1]. Близькими до тіофену є бензотіофен та дибензотіофен, як містять цикл тіофену, сконденсований відповідно із одним або двома кільцями бензену. Аналогічними до нього також є фуран та пірол, де атоми S відповідно замінені на угрупування O та NH.
Знаходження в природі
Похідні тіофену досить поширені в живій природі: грибах та деяких інших вищих рослинах. Наприклад грибок Daedelia juniperina та коріння Echinops sphaerocephalus містять ненасичені сполуки тіофену:
![]() У Daedelia juniperina ![]() У Echinops spaerocephalus |
Історія
Було помічено, що ізотин змінює забарвлення на синій при змішуванні із сульфатною кислотою та сирим бензеном. Формування синього індофеніну вже досить довго вважалося реакцією із бензеном. Віктор Меєр зміг ізолювати речовину в бензені, яка відповідала за таку кольорову реакцію. Цією гетероциклічною сполукою і був тіофен[2].
Джерела та методи отримання
Тіофен та його гомологи містяться в продуктах коксування кам'яного вугілля (звідки їх і виділяють разом із кам'яновугільним бензеном) та продуктах термічного розкладу сланців (в деяких фракціях до 70 % за масою). В сирому бензені вміст тіофену становить 1,3—1,4 %, в отримуваних із сирого бензену тіофен-бензоновому концентраті — 30—35 %.
Основною сировиною для синтезу тіофену та його гомологів є вуглеводні нафтових фракцій С4 і С5, із яких його можна отримати шляхом взаємодії із S чи каталітичною реакцією із H2S чи SO2. Тіофен також синтезують пропусканням фурану, ацетилену чи 1,3-бутадієну та H2S над Al2O3. Гомологи тіофену, а також деякі похідні отримують замиканням відповідних 1,4-дикарбонільних сполук за допомогою P4S10, наприклад:
Хімічні властивості
При кімнатній температурі, тіофен — це безбарвна рідина з приємним ароматом, який злегка нагадує запах бензену, з яким тіофен має багато спільних рис.
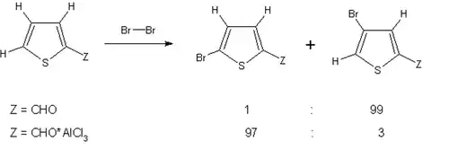
Тіофен вважається ароматичним, хоча теоретичні розрахунки вказують на меншу ступінь ароматичності, ніж у бензену, але участь однієї з пари електронів сульфуру в делокалізованому зв'язку π-системи значний, і як наслідок реакційна здатність тіофену вища ніж у бензену (наприклад в реакціях галогенування, нітрування, формілювання та дейтрування швидкість реакції в 104 разів більша). Як наслідок його ароматичності, тіофен не проявляє звичайних властивостей тіоефірів. Наприклад атом S не алкілюється метилйодидом. Зазвичай реакції проходять (а інколи виключно) в α-положення циклу (на 2—3 порядки швидше, ніж в інші положення). Для похідних тіофену, які містять в 2-му положенні орієнтанти II роду, реакції проходять із утворенням 2,5-дизаміщення. 2,4-ізомери добувають при умові, що вихідні сполуки беруть у вигляді комплексів із сильними протонними чи апротонними кислотами, що зумовлюється різким збільшенням електроноакцепторної властивості замісника після комплесоутворення:
Тіофен та його похідні є менш стабільними, ніж їхні бензенові аналоги, тому багато реакцій в ряду тіофену супроводжуються поліконденсацією (смолоутворенням) та деструкцією. Тіофен досить гладко алкілюється лише в досить м'яких умовах та при використанні активніших третинних та вторинних (але аж ніяк не первинних) алкілгалогенідів. Тіофен за наявності замісників орієнтантів I роду досить легко ацилюються в присутності SnCl4 чи SnCl2 в бензені, який за даних умов не ацилюється:
Формілювання тіофену відбувається під дією ДМФА чи N-метилформаніліду в присутності POCl3, а при наявності альдегідів та кетонів в присутності апротонних чи протонних кислот призводить до утворення сполук ряду ди(2-тієніл)метану.
Тіофен та його похідні здатні до прямого металювання під дією літійорганічних реагентів за механізмом так званого протофільного заміщення. Реакція протікає досить швидко та практично кількісно при кімнатній температурі в більшості випадків з високою регіоселективністю та утворенням α-літієвих похідних. За дуже м'яких умов (-70 °C) під дією C4H9Li протікає також реакція обміну атому галогену на метал в циклі тіофену, при чому обмін галогену в α-положенні переважаючий над β-положенням, а обмін I на Li йде легше, ніж Br. Реакції нуклеофільного заміщення краще проходять із заміщеними тіофенами, які містять орієнтири II роду в кільці.
Тіофен, його гомологи та деякі похідні здатні вступати в реакції радикального заміщення, наприклад арилюванням за реакцією Гомберга—Бахмана—Хея. Іншою важливою реакцією арилювання є УФ-опромінення йодтіофену в ароматичному розчиннику чи ароматичної йодпохідної в тіофені.
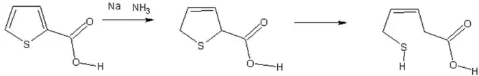
Ненасичені властивості тіофену виражені слабко. Наприклад в дієновий синтез вступають тільки конденсовані тіофени, такі як заміщені бензо[с]тіофену. Гідрування в ряду тіофенів відбувається дуже важко, це пов'язано із отравляючою дією сірки на більшість каталізаторів. Але все ж тіофен в присутності Pd/C, MoS та перетворюється в тетрагідротіофен (тіофан). Гомологи тіофену та більшість його похідних перетворюються у відповідні похідні тіофану за умов йонного гідрування, наприклад при дії трифлуороцтової кислоти та тріетилсилану. Дигідротіофен утворюється при відновленні тіофену натрієм в рідкому NH3. При аналогічному відновленні гомологів тіофену та його похідних процес зазвичай не зупиняється на стадії утворення дигідропохідного, а відбувається розщеплення циклу з утворенням відповідних сполук аліфатичного ряду, наприклад:
При гідрування дією адсорбованого Н на нікелі Ренея відбувається відновлювальна десульфуризація заміщеного тіофену з утворенням аліфатичних сполук:
Ця реакція — один із шляхів до отримання із похідних тіофену сполук різних класів, наприклад карбонових кислот, вищих спиртів, простих ефірів, аміноспиртів та амінокислот, а також лактамів макроциклічних кетонів, кетокислот та кетолактонів.
Тіофен та його похідні досить стійкі до дії окисників. Але при дії Н2О2 чи надкислот відбувається окиснення до сульфоксиду (у вільному стані не виділений) чи до сульфону. Обидві сполуки є типовою дієновою системою, здатною до дієнового синтезу, в якому виконують роль як дієну, так і дієнофілу.
Під дією деяких алкілюючих агентів чи ди-(етоксикарбоніл)карбену утворюються похідні тіофену з позитивно зарядженим трьохвалентним (сульфонієвим) атомом сірки. Висока реакційна здатність тіофену до сульфування є основою для розділення його від бензену. Звичайною дистиляцією цього зробити практично неможливо через різницю температури випаровування за нормального тиску, яка становить всього 4 °C. Обробка тіофен-бензенової суміші з сульфатною кислотою призводить до переважного сульфування тіофену та утворення розчинного у воді тіофенсульфонату.
Електрофільнi реакції (хлорування, сульфування, нітрування, ацилювання тощо) йдуть переважно в α-положення гетероядра (яке в тіофені є набагато активнішим, ніж β-положення).
Застосування
Сполуки ряду тіофену — реагенти для розділення елементів, оптичні відбілювачі (на основі 2,5-тіофендикарбонової кислоти), фізіологічно активні сполуки. Багато похідних тіофену — лікарські препарати (наприклад антигельмінтний препарат комбантрин, модифіковані антибіотики цефалотин і цефалоридин), мономери для отримання електропровідних полімерів.
Примітки
- Viktor Meyer (1883). Ueber den Begleiter des Benzols im Steinkohlenteer. Berichte der Deutschen chemischen Gesellschaft 16: 1465–1478.
- Ward C. Sumpter (1944). The Chemistry of Isatin. Chemical Reviews 34, (3): 393—434. doi:10.1021/cr60109a003.
Джерела
- Блике Ф. Химия тиофена // Гетероциклические соединения / Под ред. Р. Эльдерфилда, пер. с англ. — М. : ИИЛ, 1953. — Т. 1. (рос.)
- Глосарій термінів з хімії / уклад. Й. Опейда, О. Швайка ; Ін-т фізико-органічної хімії та вуглехімії ім. Л. М. Литвиненка НАН України, Донецький національний університет. — Дон. : Вебер, 2008. — 738 с. — ISBN 978-966-335-206-0.
- Новые направления химии тиофена / Под ред. Я. Л. Гольдфарба. — М. : Наука, 1976. — 424 с. (рос.)
- Беленький Л. И., Гультяй В. П. Химия гетероциклических соединений. — № 6, 1981 — C. 723—743. (рос.)
- Общая органическая химия: В 12 т. / Пер. с англ. под ред. Д. Бартона, У. Д. Оллиса. — М. : Химия, 1985 — Т. 9. — C. 229—293. (рос.)
- Анисимов А. В., Викторова Е. А., Данилова Т. А. Молекулярные перегруппировки сероорганических соединений. — М. : Изд-во Моск. ун-та, 1989. — 122 с. (рос.)








