Строфантин
Строфантин (англ. Strophanthin, лат. Strophanthinum), також Уабаїн[2] (від сом. waabaayo отрута для стріл, через фр. ouabaïo) — природна хімічна сполука, яку отримують із листя та насіння рослин із родів акокантера та строфант, яка традиційно застосовується африканськими племенами як отрута для стріл. Строфантин застосовується в медицині як лікарський засіб, що належить до групи серцевих глікозидів, та який застосовується виключно внутрішньовенно.[3][4][5] У ряді країн строфантин випускався також у формі таблеток, вкритих оболонкою, для перорального застосування[6][7], але натепер таблетована форма препарату не застосовується.[8] Внутрішньом'язове введення строфантину не застосовується у зв'язку із вираженою болючістю ін'єкції та високою ймовірністю утворення постін'єкційних абсцесів.[9][10] Фактично під назвою «строфантин» об'єднують 3 структурно відмінні хімічні речовини, що належать до групи серцевих глікозидів, мають однаковий механізм дії, та отримуються із різних видів рослин роду строфант[11] та акокантера.[12] Строфантин К отримують із насіння Strophanthus Kombe, строфантин Н — із насіння Strophanthus hispidus[13][14], і строфантин G (саме який і називають ще уабаїном)[15] — із насіння Strophanthus gratus[13][14] і Acokanthera schimperi.[12] У колишньому Радянському Союзі для отримання строфантину К культивувались кілька видів роду Кутра (зокрема, кутра конопляна та кутра проломниколиста).[16]
![]() | |
|---|---|
Строфантин
| |
| Систематизована назва за IUPAC | |
| 1β,3β,5β,11α,14,19-Hexahydroxycard-20(22)-enolide 3-(6-deoxy-α-L-mannopyranoside) OR 4-[(1R,3S,5S,8R,9S,10R,11R,13R,14S,17R)-1,5,11,14-tetrahydroxy-10- (hydroxymethyl)-13-methyl-3-((2R,3R,4R,5R,6S)-3,4,5-trihydroxy-6-methyltetrahydro-2H- pyran-2-yloxy)hexadecahydro-1H-cyclopenta[a]phenanthren-17-yl]furan-2(5H)-one | |
| Класифікація | |
| ATC-код | C01 |
| PubChem | |
| CAS | |
| DrugBank | |
| Хімічна структура | |
| Формула | C29H44O12 |
| Мол. маса | 584,652 г/моль |
| Фармакокінетика | |
| Біодоступність | 100 % |
| Метаболізм | не метаболізує |
| Період напіввиведення | 23 год. |
| Екскреція | Нирки (70—90 %), Жовч |
| Реєстрація лікарського засобу в Україні | |
| Назва, фірма-виробник, країна, номер реєстрації, дата | СТРОФАНТИН-Г, ТОВ "Дослідний завод "ГНЦЛС"/ТОВ "Фармацевтична компанія "Здоров'я", Україна UA/0079/01/01 16.08.2013-16/08/2018 СТРОФАНТИН К, АТ "Галичфарм", Україна UA/5059/01/01 03.08.2011-03/08/2016 [1] |

Історія
![]() Acokanthera schimperi |
![]() Strophanthus gratus |
Отруйні речовини, отримані з рослин роду Acokanthera, описані ще у книгах давньогрецького вченого Теофраста у III столітті до н. е., який писав про отруйні речовини, якими жителі тогочасної Ефіопії змазували стріли для луків. Отрута для стріл, отримана з рослин роду акокантера, здавна використовувалась також жителями Кенії, Танзанії, Уганди, Сомалі та Руанди для полювання та війни.[12] Отруйні речовини із рослин роду строфант також здавна використовувались місцевими африканськими племенами з аналогічною метою.[13][14] Першими із європейців, які відчули на собі дію строфантину, стали португальці, які зазнали великих втрат від отруєних соком акокантери стріл під час штурму Момбаси у 1505 році.[12] Більше відомостей про строфантин та його різновиди європейці отримали у період колоніальної експансії в Африці у ХІХ столітті, оскільки отруєні стріли із строфантином африканці використовували у бойових діях проти європейських військових підрозділів. Отрйна речовина зацікавила європейських науковців як потенційний лікарський препарат.[17] Російські науковці Пелікан та Вульпіан у 1865 році вперше описали дію строфанту на серце.[6][14] У 1882 році французький хімік Арно вперше отримав чистий порошкоподібний строфантин, та класифікував його як представника глікозидів.[12] Ці дослідження дозволили продовжити вивчення строфантину як потенційного лікарського препарату для застосування в кардіології. У 1910 році Микола Дмитрович Стражеско уперше запропонував внутрішньовенне застосування строфантину.[6][8] Тривалий час строфантин застосовували у Франції та Німеччині як ін'єкційно, так і перорально, для профілактики та лікування стенокардії та інфаркту міокарду із позитивними результатами досліджень[18], проте, згідно сучасних рекомендацій, строфантин протипоказаний при гострому інфаркті міокарду та стенокардії (за виключенням випадків гострої лівошлуночкової недостатності).[19][20] Проводяться дослідження по можливості використання строфантину для посилення рухливості сперматозоїдів.[21]
Фармакологічні властивості
Строфантин — природний препарат, що по хімічному складу є групою серцевих глікозидів, похідних циклопентанпергідрофенантрену, підгрупи карденолідів.[22] До складу молекули глікозидів групи строфантину входять аглікон стероїдної будови строфантидин та вуглеводи цимароза та глюкоза (у залежності від різновиду строфантину).[11][23] Механізм дії препарату, як і інших серцевих глікозидів, полягає у блокаді ферменту Nа±К±АТФ-ази кардіоміоцитів, що призводить до збільшення концентрації натрію в клітинах міокарду та, внаслідок цього, відкриття кальцієвих каналів та збільшення надходження кальцію до кардіоміоцитів. Збільшення концентрації кальцію призводить до інгібування тропонінового комплексу, який у свою чергу пригнічує взаємодію актину та міозину, та внаслідок цього — до збільшення сили скорочення міокарду. Строфантин збільшує як силу, так і швидкість скорочення міокарду (позитивний інотропний ефект), призводить до збільшення ударного та хвилинного об'єму крові, зниження кінцевого систолічного та діастолічного об'єму серця і, внаслідок цього — до зниження потреби міокарду в кисні; підвищує рефрактерність AV-вузла, що призводить до сповільнення провідності міокарду (негативний дромотропний ефект); зменшує частоту скорочень серця (негативний хронотропний ефект).[4][5][24] При застосуванні строфантину, як і при застосуванні більшості інших серцевих глікозидів, зменшується частота серцевих скорочень[3][6], але строфантин значно менше впливає на частоту серцевих скорочень та провідність серця, ніж інші представники групи серцевих глікозидів.[9][25] Подібно до корглікону, строфантин чинить більш виражений вплив на систолу, ніж на діастолу.[6][24] У хворих із серцевою недостатністю строфантин знижує венозний тиск, збільшує виділення сечі, сприяє зменшенню периферичних набряків та задишки.[5][10] При миготливій аритмії строфантин сприяє зменшенню частоти серцевих скорочень, подовженню діастоли та покращенню внутрішньосерцевої та системної гемодинаміки.[5] Строфантин має найбільш швидку дію серед усіх серцевих глікозидів[25] (початок дії при внутрішньовенному застосуванні за 2—10 хвилин після ін'єкції[4][8]), а також має найкоротшу тривалість дії серед серцевих глікозидів (повне виведення строфантину з організму відбувається протягом 1—3 діб після внутрішньовенної ін'єкції[25], у строфантину G незначно триваліший час дії порівняно зі строфантином К[8]) і найменшу здатність до кумуляції серед серцевих глікозидів.[9] При застосуванні строфантину також спостерігається більш виражене розширення коронарних артерій та менше звуження судин кишечнику, ніж при застосуванні інших серцевих глікозидів.[13][14] Хоча історично строфантин і застосовувався перорально, у вигляді таблеток, вкритих оболонкою для інактивації шлункових ферментів[13][14], а також настойки строфанту[9], натепер строфантин застосовується виключно внутрішньовенно. Недоліком строфантину є те, що він є відносно токсичнішим від інших серцевих глікозидів (мінімальна смертельна доза строфантину при внутрішньовенному застосуванні значно менша, ніж смертельна доза дигоксину), а також у зв'язку із швидшим виведенням із організму в порівнянні з іншими серцевими глікозидами[13][14], що в сукупності з неможливістю перорального застосування не дає можливості контролювати насиченість організму серцевими глікозидами та застосовувати ступінчасте введення серцевих глікозидів (що означає розпочинати лікування з ін'єкційного введення препарату з поступовим переходом до застосування пероральних форм у підтримуючих дозах). у зв'язку із цими факторами строфантин натепер застосовується переважно у випадках гострої серцевої недостатності, важких випадках хронічної серцевої недостатності та пароксизмах тахіаритмій, коли необхідна більш швидка дія препарату[3][13][14]; за необхідності тривалого застосування серцевого глікозиду перевага віддається дигоксину, який має як ін'єкційну, так і пероральну форму застосування.[13][14]
Фармакокінетика
Строфантин вкрай погано (на 2—5 %[25]) всмоктується при пероральному застосуванні, при внутрішньовенному введенні всмоктується швидко, дія препарату розпочинається за 2—10 хвилин після ін'єкції.[4] Максимальна дія строфантину спостерігається за 30—120 хвилин після ін'єкції, дія препарату триває протягом 1—3 діб.[3][8] Строфантин відносно рівномірно розподіляється у тканинах організму, незначно вищі концентрації препарату спостерігаються у надниркових залозах, підшлунковій залозі, печінці та нирках, у міокарді концентрується лише приблизно 1 % препарату.[5] Строфантин погано зв'язується з білками плазми крові[25] (на 5 % строфантин К[5] і до 40 % — строфантин G[4]). Препарат не метаболізується, виводиться з організму в незміненому вигляді переважно із сечею (на 70—90 %), решта препарату виводиться із жовчю. Період напіввиведення строфантину становить 23 години, при порушенні функції нирок та у хворих похилого віку цей час може збільшуватися.[4][5]
Застосування
Згідно інструкції до застосування, строфантин натепер застосовується при гострій серцевій недостатності та хронічній серцевій недостатності III—IV стадії по NYHA, тахісистолічній формі миготливої аритмії, фібриляції передсердь та суправентрикулярній тахікардії.[3][4][5]
Побічна дія
При застосуванні строфантину побічні ефекти спостерігатися частіше при його передозуванні або при підвищеній чутливості до серцевих глікозидів. Серед побічних ефектів строфантину найчастішими є[3][4][5]:
- Алергічні реакції та з боку шкірних покривів — шкірні алергічні реакції, кропив'янка.
- З боку травної системи — нудота, блювання, діарея, мезентеріальний інфаркт, анорексія.
- З боку нервової системи — загальна слабкість, запаморочення, головний біль, зниження гостроти зору, порушення кольорового зору, порушення сну, депресія, галюцинації, психози.
- З боку серцево-судинної системи — екстрасистолія, шлуночкові аритмії, атріовентрикулярна блокада, брадиаритмія, фібриляція шлуночків.
- Інші побічні ефекти — гінекомастія, тромбоцитопенія, тромбоцитопенічна пурпура, носова кровотеча, петехії.
Передозування
Хоча передозування строфантину зустрічається рідше, ніж при застосуванні глікозидів наперстянки, проте ймовірність передозування збільшується в осіб похилого віку; хворих із гіпокаліємією, гіпомагніємією, гіпернатріємією, гіперкальціємією, алкалозом; хворих із легеневим серцем, із вираженою ділятацією порожнин серця та хворих із печінковою та нирковою недостатністю. Найчастіше першими симптомами передозування строфантином є зниження апетиту, блювання, діарея, біль у животі; серед кардіальних симптомів початковими симптомами є шлуночкова екстрасистолія (по типу бігемінії, політопної екстрасистолії), шлуночкова пароксизмальна тахікардія, синоатріальна та атріовентрикулярна блокада, миготлива аритмія або фібриляція передсердь. Іншими симптомами передозування можуть бути мезентеріальний інфаркт із некрозом петель кишечнику, неврити або радикуліти, парестезії, маніакально-депресивний психоз. Характерними ознаками інтоксикації строфантином є зниження гостроти зору (внаслідок ретробульбарного невриту), миготіння «мушок» перед очима. спотворення величини предметів, а також зміна забарвлення видимих предметів у жовто-зелений колір.[4][5][26]
При інтоксикації строфантином лікування розпочинається із відміни препарату, застосування антидотів серцевих глікозидів (унітіол або натрію етилендіамінтетраацетат, ацетилцистеїн, таурин), симптоматичних засобів (тіамін, рибофлавін, нікотинамід, токоферол, піридоксин). Як антиаритмічні засоби застосовуються лідокаїн, дифенін, аміодарон та фенітоїн. При гіпокаліємії застосовуються препарати калію — найчастіше внутрішньовенно розчин хлориду калію. При вираженій брадикардії застосовуються м-холіноблокатори.[4][5][27]
Протипоказання
Строфантин протипоказаний при інтоксикації серцевими глікозидами, підвищеній чутливості до препарату, синдромі WPW, гострому інфаркті міокарду, атріовентрикулярній блокаді ІІ та ІІІ ступеня, брадикардії, екстрасистолії, синдромі слабкості синусового вузла, синдромі каротидного синусу, нестабільна стенокардії, гострому міокардиті, ендокардиті, гіпертрофічній обструктивній кардіоміопатії, констриктивному перикардиті, аневризмі грудного відділу аорти, гіперкальціємії, гіпокаліємії, вагітності та годуванні грудьми.[3][4][5]
Форми випуску
Строфантин випускається у вигляді 0,025 % та 0,05 % розчину для ін'єкцій у ампулах по 1 мл.[9]
Застосування строфантину тваринами

Один із видів африканських гризунів, кошлатий хом'як, для захисту від хижаків здирає кору кущів акокантери абіссінської (лат. Acokanthera shimperi), яка має високий вміст строфантину G (уабаїну), та змащує нею свою вовну. Це призводить до того, що одного контакту з шерстю хом'яка може вистачити, щоб викликати сильне отруєння, і навіть смерть хижака, який вирішить з'їсти цього хом'яка. У поєднанні зі специфічним запахом із його пахучих залоз, які розпочинають виробляти свій секрет у випадку небезпеки для тварини, та густою шерстю, подібною до голок дикобраза, ці властивості роблять кошлатого хом'яка непривабливою здобиччю для хижаків.[28][29][30]
Синтез строфантину
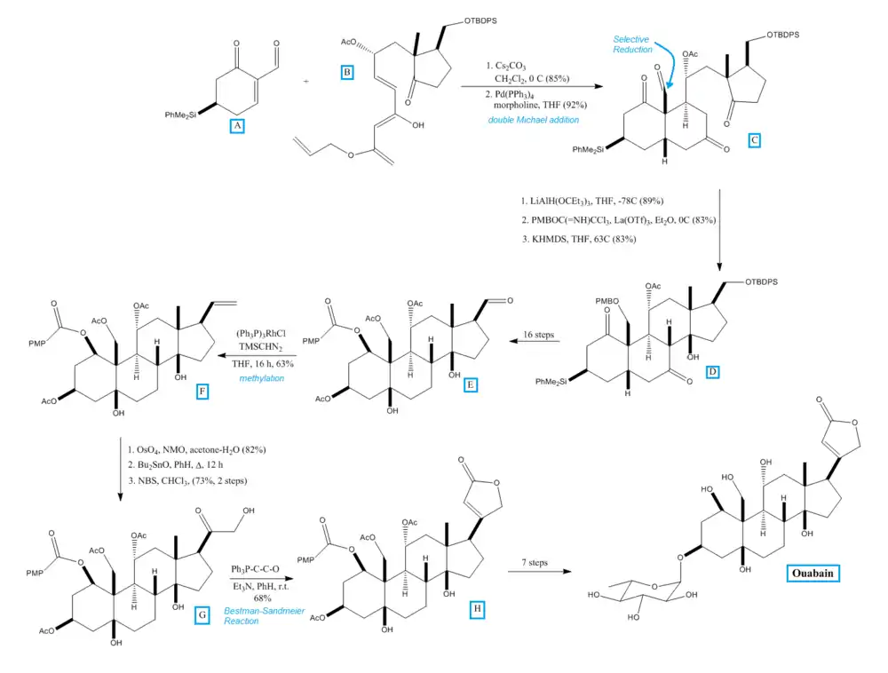
Уперше хімічний синтез строфантину G запропонований у 2008 році лабораторією Делоншамп у Канаді. Науковцями лабораторії запропонований проект синтезу, заснований на гіпотезі поліаніонної циклізації (подвійне спряжене приєднання по Міхаелю, яке відбувається після альдольної конденсації), який дозволяє отримувати проміжні тетрациклічні сполуки необхідної для проведення даного синтезу функціональності.[31] Нижче наведена схема основних етапів синтезу строфантину G.

У запропонованій схемі синтезу Чангом та групою інших дослідників із лабораторії Делоншамп запропоновано на першому етапі конденсувати циклогенон (А) з речовиною В, отриманою шляхом циклізації по Назроу, та провести подвійне спряжене приєднання по Міхаелю до отримання трициклічної сполуки С. У визначеній позиції в речовині С проводиться видалення альдегідної та гідроксильної групи з утворенням параметоксибензильного етеру як альдольного попередника для синтезу речовини D. Наступним кроком є синтез речовини Е, яка є стереохімічним попередником строфантину. Далі проводиться метилювання речовини Е, яке каталізується родієм, з утворенням речовини F. На наступному етапі проводиться дегідроксилювання та вибіркова оксидація вторинних гідроксигруп речовини F із утворенням речовини G. Речовина G вступає у хімічну реакцію з трифенілфосфораніліденкетеном, і естерові зв'язки речовини G гідролізуються з утворенням строфантидину, попередника строфантину. Із приєднанням до строфантидину рамнози утворюється строфантин G.
Примітки
- Державний реєстр лікарських засобів України
- «ouabain» in the World English Dictionary
- http://compendium.com.ua/akt/83/394/strophantinum (рос.)
- Строфантин-Г. Описание препарата в справочнике Видаль (рос.)
- Строфантин-К. Описание препарата в справочнике Видаль (рос.)
- Серцеві глікозиди. Архів оригіналу за 6 жовтня 2016. Процитовано 5 травня 2016.
- Чекман, 2001, с. 208.
- Кардіотонічні препарати
- Машковский М. Д. Лекарственные средства (рос.)
- Чекман, 2001, с. 211.
- Строфант
- Neuwinger, Hans Dieter. African Ethanobotany: Poisons And Drugs. Weinheim: Chapman & Hall, 1996. Print. (англ.)
- Что такое Строфант? (рос.)
- БМЭ. Строфантин (рос.)
- Уабаин (лекарство) (рос.)
- Гаммерман, 1976, с. 201.
- Osseo-Asare, A. D. 'Bioprospecting And Resistance: Transforming Poisoned Arrows Into Strophantin Pills In Colonial Gold Coast, 1885—1922'. Social History of Medicine 21.2 (2008): 269—290. Web. (англ.)
- Fürstenwerth H (2010). Ouabain - The Insulin of the Heart. Int J Clin Pract 64 (12): 1591–4. PMID 20946265. doi:10.1111/j.1742-1241.2010.02395.x. (англ.)
- Неотложная помощь при стенокардии и остром инфаркте миокарда Архівовано 8 червня 2016 у Wayback Machine. (рос.)
- СОВРЕМЕННЫЕ ПОДХОДЫ К ЛЕЧЕНИЮ БОЛЬНЫХ С ХРОНИЧЕСКОЙ СЕРДЕЧНОЙ НЕДОСТАТОЧНОСТЬЮ С СИСТОЛИЧЕСКОЙ ДИСФУНКЦИЕЙ ЛЕВОГО ЖЕЛУДОЧКА (рос.)
- Clausen MJ, Nissen P, Poulsen H (2011). The Pumps that Fuel a Sperm's Journey. Biochem Soc Trans 39 (3): 741–5. PMID 21599643. doi:10.1042/BST0390741. (англ.)
- Серцеві глікозиди
- Как запомнить формулы и названия кардиогликозидов? (рос.)
- Чекман, 2001, с. 209.
- Гликозиды группы строфанта и ландыша (строфантин, коргликон). Фармакокинетика и фармакодинамика. (рос.)
- Чекман, 2001, с. 212.
- Чекман, 2001, с. 213.
- Welsh, J. (2011). Giant rat kills predators with poisonous hair. LiveScience. Процитовано 2 серпня 2011. (англ.)
- Morelle, R. (2011). African crested rat uses poison trick to foil predators. BBC.co.uk. Процитовано 2 листопада 2013. (англ.)
- Rat makes its own poison from toxic tree. University of Oxford. 2011. Архів оригіналу за 6 листопада 2013. Процитовано 2 листопада 2013. (англ.)
- Zhang, Hongxing et al. 'Total Synthesis Of Ouabagenin And Ouabain'. Angew. Chem. 120.7 (2008): 1292—1295. Web. (англ.)
- Deslongchamps, P. et al. 'Synthesis Of Ouabain'. Synfacts 2008.6 (2008): 0562-0562. Web. (англ.)
Література
- А.Ф Гаммерман, И.И. Гром. Дикорастущие лекарственные растения СССР. — Москва : Медицина, 1976. — С. 201. — 415 000 прим. (рос.)
- Чекман І. С. Фармакологія. — Київ : Вища школа, 2001. — 598 с. — ISBN 966-642-057-0.


.JPG.webp)